平成11年度研究報告 VOL.49
電磁シールド効果の解析
機械電子部 吉村慶之 南川俊治 筒口善央
金沢大学 長野勇

 電磁波による機器の誤動作防止策として,金属や導電性繊維などの電磁シールド材料によって遮蔽する方法がとられている。効果的に誤動作を防止するには,材料のシールド効果をよく把握することが重要となるため,本報告では,シールド効果の理論解析と実測定の両面から検討することとした。
 まず,波源に球面波ヘルツベクトルを用いることにより,波源近傍から遠方領域におけるシールド効果の理論解析法を検討した。計算の結果,波源の近傍におけるシールド効果は,観測点の位置によって変化するのに対し,遠方では位置に依存せず一定になることがわかった。そこで,遠方領域におけるシールド効果に着目し,導電性衝立による簡易的な測定法を提案した。検証のため導電性繊維のシールド効果を測定した結果,従来品の結果とほぼ一致しており本手法の有用性を確認した。
キーワード:電磁シールド,シールド効果,ヘルツベクトル,遠方領域


Analysis of Electromagnetic Shielding Effectiveness

Yoshiyuki YOSHIMURA, Toshiharu MINAMIKAWA, Yoshiteru DOUGUCHI and Isamu NAGANO

 It has been observed that sometimes an electronic equipment doesn't operate properly under the influence of an electromagnetic wave. The electromagnetic shield (metal or conductive textile) is thought to be one of the effective methods to avoid an electric equipment error. In this connection it becomes imperative to investigate the shielding effectiveness (SE) of materials. In this study, the SE was investigated theoretically and experimentally.Hertzian vector of the spherical wave was used for calculating the theoretical SE in the near-field region and the far-field region. Although the calculation result of SE varied with an observation point in the near-field region, it kept constant independent of the observation point in the far-field region. Therefore a simple measurement method in the far-field region by using a conductive large screen was proposed. The SE of conductive textile was measured to confirm the applicability of this method. The results were found to be in good agreement with those measured by a conventional method.
Key Words:electromagnetic shield, shielding effectiveness, Hertzian vector, far-field


1.緒  言
 電子機器の高度化や無線通信機器の普及に伴い,不要電磁波が原因となる電子機器の誤動作が問題となっている。例えば,テレビやラジオへの電磁波障害や病院内での無線通信による医療機器の誤動作などがあり,機器は不要電磁波からの防御,あるいは放射の抑制が必要不可欠となっている。そこで,筐体に導電率の高い金属材料等を用いることにより電磁波シールドを講じたり,プラスチック筐体に無電解メッキや導電性塗料を施すことによる対策が行われている。また,最近ではペースメーカの誤動作対策のため衣料に対してもシールド効果を持たせた製品開発が盛んに行われている。このような中で,より有効に電磁波対策を行うためにはシールドのメカニズムをよく把握しておくことが重要である。
 シールド効果を評価するための理論的手法として,シェルクノフ(Schelkunoff)の式1)が広く使用されている。この式は波源から遠方領域におけるシールド効果の計算では厳密となるが,波源の近傍では厳密とはならない。そこで,波源の近傍から遠方領域におけるシールド効果について理論的に厳密な計算法を検討した。計算の結果,波源の近傍におけるシールド効果は,観測点の位置によって変化するのに対し,遠方では位置に依存せず一定となることがわかった。そこで,波源から遠方領域におけるシールド効果に着目し,導電性衝立による簡易的な測定法を提案した。検証のため導電性繊維のシールド効果を測定した結果,既存の測定器の結果とほぼ一致しており本手法の有用性を確認した



2.電磁シールド効果の理論解析
 理論解析は材料の電気定数を式に導入することにより,シールド効果を評価することができる.したがって,製品の設計段階から用いることが可能であるため効果的な手段である。

2.1 シェルクノフの式による解析
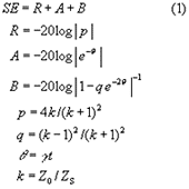
シールド効果SE(Shielding Effectivness)を理論的に考察する場合,式(1)に示されるシェルクノフの式が一般によく用いられている1)。

 この式は波源の遠方領域,すなわち平面波では厳密となるが,波源の近傍では厳密とはならない。しかしながら,この式は計算が容易であるため,材料の電気定数などによりシールド効果の傾向を把握するには有効な手法である。
次に,ゾンマーフェルト積分表示式を用いて波源の近傍におけるシールド効果を厳密に解析することを試みる。
ここで,Rはシールド表面における反射損失,Aはシールド材内での減衰損失,Bはシールド材内の多重反射項である。また,γはシールド材内部の伝搬定数(rad/m),tはシールド材厚さ(m),Z0は電磁界の波動インピーダンス(Ω),ZSはシールド材の特性インピーダンス(Ω)である。



図1 解析モデル
2.2 ゾンマーフェルト積分表示式による解析
2.2.1 解析モデル
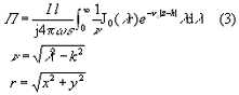
 ここでは,図1に示すような無限大平板のシールド材解析モデルを対象とする。座標原点よりz=h0の位置に電気ダイポール波源を設定し,波源と観測点との距離をRとする。ダイポール軸はシールド材に対して,水平(X)方向を想定する。シールド材上部では直接波と反射波があり,シールド板下部では下降波(透過波)のみが存在する。解析に際し,波源位置は固定し,観測点は任意位置に移動が可能とする。

2.2.2 解析手法
ダイポール波源から放射された直接波のヘルツベクトルΠは式(2)に示されるような球面波となる。
  ここで,Iは電流(A),lはダイポール長(m),ωは各周波数(rad/s),εは誘電率(F/m),Rは波源からの距離(m)である。
 また,水平ダイポールの場合は,層間の不均質性を反映させるため,X,Z方向のΠを考えなければならない2)。この式を円筒波の積分で表現するゾンマーフェルト(Sommerfeld)積分表示式を用いることにより式(3)で表される2)3)。
 
  ここで,J0は第0次第1種ベッセル関数,λは積分定数,kは波数(rad/m),x,yは観測点位置(m)である。
 次に各境界における電磁界の接線成分が連続であるという境界条件を用いることによって連立方程式を解くことに帰着し,最終的に透過波のΠを求めることができる4)。これを式(4),(5)に代入することにより透過電磁界が求まる。
 
 シールド効果SEは式(6)によって求められる。
 
  ここで,E0はシールド材がない場合の観測点での電界,ESはシールド材を想定した場合の観測点での電界である。

3.解析結果
 解析にあたり,図1の解析モデルの材料厚t=0.1mmとし,表1に示す各種シールド材を仮定し,これらの材料定数を用いて数値的に計算を行った。
表1 材料定数
  εr μr σ(S/m)
Cu 1 1 5.18×107
Al 1 1 3.64×107
Fe 1 140 1.00×107
3.1 周波数特性
 図1の解析モデルにおいて,観測点位置をz軸上とし,h0=0.5m,d=1mとした場合のシールド効果の周波数特性を図2に示す。また,シェルクノフの式より求まる遠方領域のシールド効果も同図に示す。
ダイポール波源からの距離d=1mではこの距離を遠方領域(=波長/(2π))とみなせる周波数は約48MHz以上となる。図2よりこの周波数領域以上において,本手法より求めた結果がシェルクノフの式から求めたシールド効果とよく一致しており,本手法の妥当性が検証できた。また,近傍領域でシールド効果を検討する場合,シェルクノフの式から求まる結果と異なるため,注意が必要である。


図2 シールド効果の周波数特性
3.2 シールド効果の空間分布
 h0=10mm,d=20mm,f=100MHz,Cu材とし,観測点をXY方向に移動させた場合(近傍領域),シールド効果の空間分布は図3に示すようになった。これより近傍領域では観測点位置を変更することによりシールド効果が変化することがわかった。特に低周波域になるに従い分布の変化は顕著に現れた。
 また,h0=0.5m,d=1mとした場合(遠方領域)は,分布は顕著に現れなかった。


図3 シールド効果の空間分布
3.3 波源と観測点距離の影響
 Cu材を仮定し,波源と観測点との距離を変えた場合,図4に示すように距離が離れるに従いシールド効果は徐々に落ちていき,遠方領域となった時点で一定となることがわかった。したがって,近傍領域でシールド効果を測定する場合,波源と観測点との距離が重要となる。また,遠方領域では波源と観測点との距離に依存せず,シールド効果は一意に定まることがわかった。



図4 波源と観測点との距離の影響
3.4 シールド材厚の影響
 遠方領域のシールド効果において,Cuシールド材を仮定しその厚みの影響を調べた結果を図5に示す。これより高周波であるほど厚みの影響が出やすく指数関数的に向上することがわかった。すなわち,高周波領域では比較的薄いシールド材でもシールド効果が現れるのに対し,低周波領域では厚みのある材料が必要であることがわかった。


図5 シールド材厚みの影響
3.5 導電率と比透磁率との影響
 シールド効果は比誘電率よりもむしろ導電率と比透磁率の影響が大きい。ここでは,f=1kHzの遠方領域に対して,これら材料定数の変更によりシールド効果がどのように変わるかを調べた。その結果を図6に示す。これより導電率を高くすることによりシールド効果が向上することが確認できた。また,ある程度導電率が高くなると,比透磁率の影響もでてきておりこれを高くすることによりシールド効果の改善が確認できた。


図6 導電率と比透磁率との影響


4.電磁シールド効果の測定
 シールド効果にはダイポール波源からの近傍領域測定法と遠方領域測定法とがあり,第3章までの理論解析より,それぞれ測定結果は異なることがわかっている。ここでは,波源と観測点との距離に影響されず一定となる遠方領域のシールド効果について,簡易的に測定する手法を提案した。

4.1 遠方領域測定用治具
 測定は図7に示すように,木型にアルミニウム箔を貼り付けた簡易測定用治具を設置することにより,繊維シールド材を評価した。
 シールド効果は試料がある場合とない場合とにおける電界強度の比をとり求める。3章の解析結果で明らかなように,波源と観測点との距離は,波長/(2π)以上あれば遠方領域のシールド効果を求めることができる。しかし,シールド板にアンテナを近づけすぎると,実際にはアンテナのインピーダンスが変化したり,治具の開口部がスロットアンテナとなることがある。従って,今回は周波数を300MHz(波長:1m)以上の測定とし,波源(送信アンテナ)から十分離れた位置(3m)に治具を設置することとした。
 次に,治具の上面,及び側面より電磁波は回折するため,数値計算によりシールド効果を測定することができるダイナミックレンジを求める必要がある。計算には治具を完全導体板と仮定することにより,表2に示す試料サイズxの違いによるレンジを求めた。ここで,シールド材有りの場合は試料を完全導体とした。
 シールド試料サイズを大きくするほどダイナミックレンジは大きくとれるが,実用上の試料サイズは大きくできないため,表2の計算結果より比較的レンジが大きくとれる一辺が0.6mの試料サイズとして,図8に示す治具を製作した。



4.2 測定結果
 石川県では繊維産業が発達しており,ペースメーカ等の誤動作防止策として電波遮蔽繊維の開発が行われている。そこで,表3に示す繊維試料について測定を行った。ここで,生地用の糸は芯糸に花糸を巻き付け,さらに押糸を巻き付けることによって合撚され,これを製織,あるいは編成して生地とする。
 測定結果を図9に示す。比較のため,ADVANTEST社の遠方領域用シールド効果評価器(型式:TR17302)を用いての測定結果も示す。

 これらの図より,本手法とADVANTEST法とでは約4dB以内で一致しており,今回提案した簡易測定用治具によるシールド効果測定法の妥当性が確認できた。
ただし,前節のダイナミックレンジの考察でも示したように,本手法は繊維シールド材のように比較的シールド効果が高くないものに適用できる。


図7 シールド効果の測定
 
表2 試料サイズxによるシールド効果
x(m) シールド材なし
(dB)
シールド材有り
(dB)
シールド効果
(dB)
0.3 -31.0 -68.0 37.0
0.6 -17.6 -68.0 50.4
表3 材料定数
試料 芯糸 花糸 押糸
試料1 綿 導電性繊維 綿
試料2 綿 羊毛(太) 導電性繊維
試料3 綿 羊毛(細) 導電性繊維


図8 製作したシールド効果測定用治具
 
(a)試料1の測定結果 (b)試料2の測定結果
 
  (c)試料3の測定結果
図9 各種繊維試料のシールド効果測定結果


5.緒  言
 電子機器の電磁波による誤動作を防止するためには,シールドによる対策が必要不可欠である。そこで,理論解析によるシールド効果の各種性質を確かめた。また,簡易型測定用治具を製作し評価を行い,この測定の妥当性を検証した。
 その結果以下のことがわかった。
(1) 球面波を円筒波の合成で表現するSommerfeld積分を用いて電気ダイポール波源を考慮したシールド効果を解析的に求めた。その結果,遠方領域においてシェルクノフの式と一致しており,本手法の妥当性が得られた。
(2) 近傍領域におけるシールド効果は一意には決まらず,観測点位置により異なるという結果が得られた。従って,材料の特性としてシールド効果を表現する場合は,測定法を示すか観測点位置を明示しなければならないことがわかった。
(3) 材料の導電率を上げることでシールド効果は向上するが,さらに性能の向上を図る場合,比透磁率を高めることにより可能となることがわかった。
(4) 現在市販されているシールド効果評価器は高価であるため,安価で簡易的に測定できる治具を製作し,この測定評価が妥当であることを確認した。



謝  辞
 本研究はH10,11年度科学技術振興事業団のRSP事業(可能性試験)の補助金で行われたことを記し,関係各位に謝意を表します。また,シールド測定用治具の製作に当たり,津田駒工業鰍フ各位,シールド繊維の製作には,潟Nマモトニットの各位,及び当場繊維部土定育英氏の協力を得たことに感謝します。



参考文献
1) 清水康敬,杉浦行:電磁妨害波の基本と対策,(社)電子情報通信学会,p.56-77(1995)
2) 長野勇:不均質媒質中の電磁波伝搬,朋友印刷,p.12-42(1997)
3) J.A.Stratton:Electromagnetic Theory,McGraw-Hill,New York,p.573-577(1941)
4) 吉村慶之,長野勇,横本広章,大浦利夫,八木谷聡:電気ダイポールの任意位置における多層媒質のシールド効果,信学技報,EMCJ99-127,p.105-112(2000)



* トップページ
* 研究報告もくじ
 
* 次のページ